Skip to content
มหาวิทยาลัยการกีฬาแห่งชาติ วิทยาเขตชุมพร
MENUMENU
  • หน้าหลัก
  • เกี่ยวกับวิทยาเขต
    • เกี่ยวกับวิทยาเขต
      • ที่ตั้ง/แผนผัง
      • ประวัติความเป็นมา
      • สัญลักษณ์
      • อัตลักษณ์
      • ปรัชญา วิสัยทัศน์ พันธกิจ
    • ผู้บริหาร/โครงสร้างงานบริหาร
      • โครงสร้างงานบริหาร
      • คณะผู้บริหาร
      • สภามหาวิทยาลัย
      • แผนพัฒนา
      • การประเมินองค์กรคุณธรรมและจริยะธรรมของมหาวิทยาลัยการกีฬาแห่งชาติ วิทยาเขตชุมพร
    • บุคลากร
      • คณาจารย์
      • บุคลากรทางการศึกษา
      • ลูกจ้างประจำ
      • สายสนับสนุน
      • ผู้ฝึกสอนกีฬา
  • คณะ
    • คณะศึกษาศาตร์
      • Facebook
    • คณะวิทยาศาสตร์การกีฬาและสุขภาพ
      • Facebook
    • คณะศิลปศาสตร์
      • Facebook
  • สำนักงานรองอธิการบดี
    • กลุ่มงานบริหาร
      • งานการเงินและบัญชี
      • งานพัสดุและยานพาหนะ
      • งานประชาสัมพันธ์
      • งานบุคคล
      • งานอาคารสถานที่
    • กลุ่มนโยบายและแผน
      • งานแผนและงบประมาณ
      • งานเทคโนโลยีสารสนเทศและการสื่อสาร
    • กลุ่มส่งเสริมวิชาการ
      • งานทะเบียนและประมวลผล
      • งานศูนย์วิทยบริการ
    • กลุ่มอำนวยการ
    • กลุ่มกิจการนักศึกษาและกิจการพิเศษ
      • งานกิจการนักศึกษาและกิจการพิเศษ
    • กลุ่มงานวิจัยและประกันคุณภาพการศึกษา
      • งานวิจัยและประกันคุณภาพ
    • งานสารบรรณ
    • สำนักงานกีฬา
  • การศึกษา
    • ระดับปริญญาตรี
    • คณะวิทยาศาสตร์การกีฬาและสุขภาพ
      • หลักสูตรวิทยาศาสตรบัณฑิต
    • คณะศิลปศาสตร์
      • หลักสูตรศิลปศาสตรบัณฑิต
    • คณะศึกษาศาสตร์
      • หลักสูตรศึกษาศาสตรบัณฑิต
    • ค่าเล่าเรียน
    • ปฏิทินการศึกษา
  • E-education
    • นักศึกษา
    • อาจารย์
    • บุคลากร
    • สำหรับรายงานตัวนักศึกษาใหม่
  • วิทยาเขต
    • กระบี่
    • กรุงเทพ
    • ชลบุรี
    • ชัยภูมิ
    • เชียงใหม่
    • ตรัง
    • เพชรบูรณ์
    • มหาสารคาม
    • ยะลา
    • ลำปาง
    • ศรีสะเกษ
    • สมุทรสาคร
    • สุโขทัย
    • สุพรรณบุรี
    • อ่างทอง
    • อุดรธานี
  • ระบบสารสนเทศจัดการงานวิจัย
  • แบบฟอร์มดาวน์โหลด
    • ตารางเรียน
    • แบบฟอร์มสมัครงาน
  • การจัดการความรู้
    • การจัดการความรู้ ปีการศึกษา 2566
    • การจัดการความรู้ ปีการศึกษา 2567
  • จุลสาร มหาวิทยาลัยการกีฬาแห่งชาติ วิทยาเขตชุมพร
    • ฉบับที่ 1
  • สมัครเรียนออนไลน์
ประกาศจัดซื้อจัดจ้าง

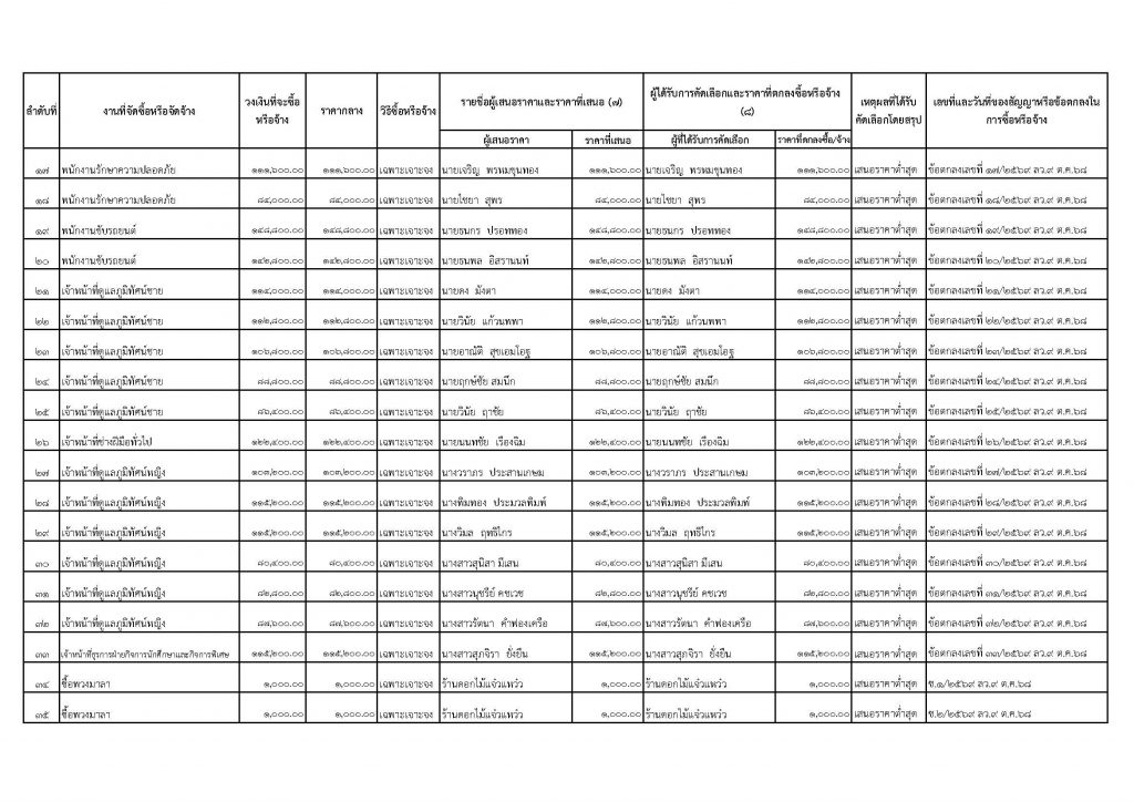
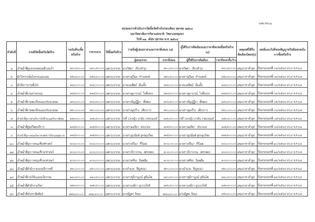
สรุปผลการจัดซื้อจัดจ้างประจำเดือนตุลาคม 2568

Byadmin

พ.ย. 20, 2025
post 20 11 68 2 Page 1
post 20 11 68 2 Page 2
post 20 11 68 2 Page 3

แนะแนวเรื่อง

ประกาศผู้ชนะการเสนอราคาจ้างซ่อมเครื่องตัดหญ้า (งานอาคารสถานที่) โดยวิธีเฉพาะเจาะจง

เนื้อหาที่เกี่ยวข้อง

ประกาศผู้ชนะการเสนอราคาจ้างซ่อมเครื่องตัดหญ้า (งานอาคารสถานที่) โดยวิธีเฉพาะเจาะจง

พ.ย. 20, 2025 admin

ประกาศผู้ชนะการเสนอราคา ซื้อพวงมาลา (สนง.รองอธิการบดี) โดยวิธีเฉพาะเจาะจง

พ.ย. 20, 2025 admin

ประกาศผู้ชนะการเสนอราคา ซ่อมรถไถตัดหญ้าคูโบต้า RT ๑๔๐ เลขครุภัณฑ์ ๓๗๕๐-๐๐๓-๐๐๐๑๕๐โดยวิธีเฉพาะเจาะจง

พ.ย. 20, 2025 admin
E-education
E-Education นักศึกษา
E-Education อาจารย์

สงวนสิทธิ์@สถาบันการพลศึกษา วิทยาเขตชุมพร จัดทำโดย เจ้าหน้าที่ดูแลระบบคอมพิวเตอร์
140 ม.8 ต.ขุนกระทิง อ.เมือง จ.ชุมพร 86190 โทรศัพท์ 077-642930
โทรสาร 077-642928

จัดการการอนุญาตใช้งาน Cookies
เว็บไซต์ www.tnsucpn.ac.th มีการใช้งานเทคโนโลยีคุกกี้ หรือ เทคโนโลยีอื่นที่มีลักษณะใกล้เคียงกันกับคุกกี้ บนเว็บไซต์ของเรา โปรดศึกษา นโยบายการใช้คุกกี้ และ นโยบายความเป็นส่วนตัวของข้อมูล ก่อนใช้บริการเว็บไซต์ ได้ที่ลิงค์ด้านล่าง นโยบายการใช้คุกกี้
ยอมรับ ปฏิเสธ
Manage consent

Privacy Overview

This website uses cookies to improve your experience while you navigate through the website. Out of these, the cookies that are categorized as necessary are stored on your browser as they are essential for the working of basic functionalities of the website. We also use third-party cookies that help us analyze and understand how you use this website. These cookies will be stored in your browser only with your consent. You also have the option to opt-out of these cookies. But opting out of some of these cookies may affect your browsing experience.
Necessary
Always Enabled
Necessary cookies are absolutely essential for the website to function properly. These cookies ensure basic functionalities and security features of the website, anonymously.
CookieDurationDescription
cookielawinfo-checkbox-analytics11 monthsThis cookie is set by GDPR Cookie Consent plugin. The cookie is used to store the user consent for the cookies in the category "Analytics".
cookielawinfo-checkbox-functional11 monthsThe cookie is set by GDPR cookie consent to record the user consent for the cookies in the category "Functional".
cookielawinfo-checkbox-necessary11 monthsThis cookie is set by GDPR Cookie Consent plugin. The cookies is used to store the user consent for the cookies in the category "Necessary".
cookielawinfo-checkbox-others11 monthsThis cookie is set by GDPR Cookie Consent plugin. The cookie is used to store the user consent for the cookies in the category "Other.
cookielawinfo-checkbox-performance11 monthsThis cookie is set by GDPR Cookie Consent plugin. The cookie is used to store the user consent for the cookies in the category "Performance".
viewed_cookie_policy11 monthsThe cookie is set by the GDPR Cookie Consent plugin and is used to store whether or not user has consented to the use of cookies. It does not store any personal data.
Functional
Functional cookies help to perform certain functionalities like sharing the content of the website on social media platforms, collect feedbacks, and other third-party features.
Performance
Performance cookies are used to understand and analyze the key performance indexes of the website which helps in delivering a better user experience for the visitors.
Analytics
Analytical cookies are used to understand how visitors interact with the website. These cookies help provide information on metrics the number of visitors, bounce rate, traffic source, etc.
Advertisement
Advertisement cookies are used to provide visitors with relevant ads and marketing campaigns. These cookies track visitors across websites and collect information to provide customized ads.
Others
Other uncategorized cookies are those that are being analyzed and have not been classified into a category as yet.
SAVE & ACCEPT
Powered by CookieYes Logo
  • http://www.tnsucpn.ac.th/cpn/about/